Hidden Markov Model analysis of mouse behavioural syntax#

In this example, we fit and apply a Hidden Markov Model (HMM) to infer behavioural syllables using the precomputed filtered mouse position data.

The dataset is a two-hour snippet of a single mouse in a foraging assay. The mouse was tracked using SLEAP with key body parts annotated as follows:

Mouse body part annotations

The data includes:

  • raw centroid positions (x, y)

  • Kalman-filtered estimates of centroid positions, speed, and acceleration (smoothed_x, smoothed_y, smoothed_speed, smoothed_acceleration)

  • pairwise distances between key body parts (head-spine3, left_ear-spine3, right_ear-spine3, spine1-spine3)

These pairwise distances were selected based on their contribution to overall variance in body shape (i.e. length and curvature), as determined by applying Singular Value Decomposition (SVD) to a standardised distance matrix.

Set up environment#

Create and activate a virtual environment named hmm-example using uv.

uv venv hmm-example --python ">=3.11" 
source hmm-example/bin/activate   # Unix
.\hmm-example\Scripts\activate   # Windows

Install the required ssm package and its dependencies.

uv pip install setuptools wheel numpy cython && uv pip install --no-build-isolation "git+https://github.com/lindermanlab/ssm#egg=ssm[plotting]"

Import libraries and define helper class#

import autograd.numpy as np
import autograd.numpy.random as npr

npr.seed(42)
import pandas as pd
import matplotlib.pyplot as plt
import pickle

import seaborn as sns

import ssm
class AeonHMM:
    """A class for training and analysing Hidden Markov Models (HMM) using the `ssm` library."""

    def __init__(self, n_state):
        """Initialise AeonHMM with the number of hidden states."""
        self.n_state = n_state  # Number of hidden states
        self.features = [
            "smoothed_speed",
            "smoothed_acceleration",
            "head-spine3",
            "left_ear-spine3",
            "right_ear-spine3",
            "spine1-spine3",
        ]  # Expected features in the input data
        self.model = None  # HMM model instance
        self.parameters = None  # Sorted model parameters (mean, variance, covariance)
        self.transition_mat = None  # Sorted transition matrix
        self.states = None  # Inferred states
        self.connectivity_mat = None  # Connectivity matrix
        self.test_lls = None  # Log-likelihoods of the test data
        self.train_lls = None  # Log-likelihoods of the training data

    def get_connectivity_matrix(self):
        """Compute the normalised connectivity matrix from the inferred states."""
        connectivity_mat = np.zeros((self.n_state, self.n_state))
        states = self.states
        # Count transitions between states
        for i in range(len(states) - 1):
            if states[i + 1] != states[i]:
                connectivity_mat[states[i]][states[i + 1]] += 1
        # Normalise to sum to 1
        for i in range(self.n_state):
            total = np.sum(connectivity_mat[i])
            if total > 0:
                connectivity_mat[i] /= total

        return connectivity_mat

    def fit_model(self, train_data, num_iters=50):
        """Fit the HMM model to the training data using the EM algorithm."""
        fitting_input = np.array(train_data)
        self.model = ssm.HMM(
            self.n_state, len(fitting_input[0]), observations="gaussian"
        )
        lls = self.model.fit(
            fitting_input, method="em", num_iters=num_iters, init_method="kmeans"
        )
        self.train_lls = lls

    def infer_states(self, test_data):
        """Infer states for the test data."""
        obs = np.array(test_data)
        self.test_lls = self.model.log_likelihood(obs)
        self.states = self.model.most_likely_states(obs)

    def sort(self, sort_idx):
        """Sort the model parameters, transition matrix, and inferred states based on the provided indices."""
        # Sort Gaussian means: shape (n_features, n_state)
        parameters_mean_sorted = self.model.observations.params[0][sort_idx].T
        # Extract and sort variances: shape (n_features, n_state)
        parameters_var = np.zeros((self.n_state, len(self.features)))
        for i in range(self.n_state):
            for j in range(len(self.features)):
                # state i, feature j
                parameters_var[i, j] = self.model.observations.params[1][i][j][j]
        parameters_var_sorted = parameters_var[sort_idx].T
        # Sort covariance matrices: shape (n_state, n_features, n_features)
        parameters_covar_sorted = self.model.observations.params[1][sort_idx]
        self.parameters = [
            parameters_mean_sorted,
            parameters_var_sorted,
            parameters_covar_sorted,
        ]
        # Sort transition matrix: shape (n_state, n_state)
        self.transition_mat = (
            self.model.transitions.transition_matrix[sort_idx].T[sort_idx].T
        )
        # Compute connectivity matrix
        self.connectivity_mat = self.get_connectivity_matrix()
        # Reassign state labels to reflect new order
        new_values = np.empty_like(self.states)
        for i, val in enumerate(sort_idx):
            new_values[self.states == val] = i
        self.states = new_values

Load sample data#

The sample dataset can be downloaded here. Please change the value of file_path to the location where you saved the file.

file_path = "/path/to/hmm_example_mouse_pos.pkl"
with open(file_path, "rb") as file:
    mouse_pos = pickle.load(file)

# Select only the required features for the HMM
mouse_pos = mouse_pos[
    [
        "smoothed_speed",
        "smoothed_acceleration",
        "head-spine3",
        "spine1-spine3",
        "left_ear-spine3",
        "right_ear-spine3",
    ]
]
mouse_pos.head()
smoothed_speed smoothed_acceleration head-spine3 spine1-spine3 left_ear-spine3 right_ear-spine3
2024-02-01 07:00:00.080 6.765046 19.325969 17.767353 12.744590 17.301722 15.257318
2024-02-01 07:00:00.180 8.032855 13.389354 17.269546 12.521794 18.267784 15.036750
2024-02-01 07:00:00.280 8.410684 7.612856 18.342884 12.943109 18.868068 15.568200
2024-02-01 07:00:00.380 7.863123 9.032341 18.010769 12.811849 18.209636 14.367178
2024-02-01 07:00:00.480 6.422148 15.558013 18.457386 12.783098 18.527658 15.594391

Training and inference#

In this two-hour example, we use the data in the first hour to train the model, and use the model to infer the hidden states of the mouse in the second hour.

start = mouse_pos.index[0]
train_mouse_pos = mouse_pos[start : start + pd.Timedelta("1h")]
test_mouse_pos = mouse_pos[start + pd.Timedelta("1h") : start + pd.Timedelta("2h")]

We initialise the model with 10 hidden states and train it using the Expectation-Maximisation (EM) algorithm over 50 iterations on the 6 selected features:

  • smoothed centroid speed,

  • smoothed acceleration

  • distance between head and spine3

  • distance between spine1 and spine3

  • distance between left_ear and spine3

  • distance between right_ear and spine3

We then use the trained model to infer the hidden states of the mouse in the test data (the second hour).

mouse_hmm = AeonHMM(n_state=10)
mouse_hmm.fit_model(train_mouse_pos)  # Set `num_iters` as needed
mouse_hmm.infer_states(test_mouse_pos)

Parameter sorting#

To make it easier to interpret the model, we can sort the inferred states by the mean centroid speed (smoothed_speed) in ascending order. The model parameters, transition matrix, and inferred states can then be reordered using AeonHmm.sort(), such that state 0 corresponds to the slowest, state 1 to the next slowest, and so on.

state_mean_speed = mouse_hmm.model.observations.params[0].T[0]
sort_idx = np.argsort(state_mean_speed, -1)
mouse_hmm.sort(sort_idx)

Visualise inferred states#

Below we colour-code the inferred states and plot these over time.

fig, ax = plt.subplots(figsize=(14, 3))
# Plot the state color bars
states_colored = mouse_hmm.states.reshape(1, -1)
im = ax.imshow(
    states_colored,
    aspect="auto",
    vmin=0,
    vmax=mouse_hmm.n_state - 1,
    extent=[0, len(mouse_hmm.states), 0, 0.2],
)
ax.set_xlim(0, len(mouse_hmm.states))
ax.set_yticks([])
ax.set_xlabel("Time (frame index)")
ax.set_title("Hidden states over time")
# Add colorbar with state labels
cbar = plt.colorbar(im, ax=ax, orientation="horizontal", pad=0.2, shrink=0.8)
cbar.set_label("State")
cbar.set_ticks(range(mouse_hmm.n_state))
cbar.set_ticklabels([f"$S_{i + 1}$" for i in range(mouse_hmm.n_state)])
plt.show()
../../_images/2cb0fc064a94d1a1ef591fc266d1a0fb1516b9167f5a675d3db8fb126bf6e691.png

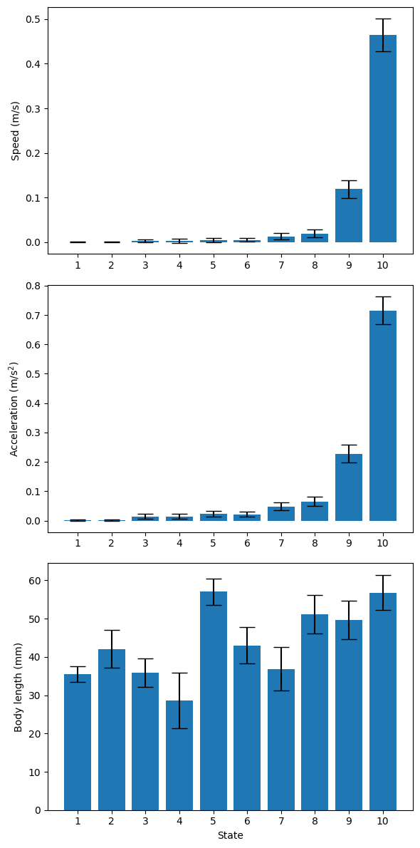
We can also visualise how key behavioural features differ across the 10 hidden states by plotting the mean and 95% confidence interval for each state, as estimated from the training data.

# Define feature labels
features = ["Speed (m/s)", "Acceleration (m/s$^2$)", "Body length (mm)"]
scale = 2e-3  # Scale for speed and acceleration
n_features = len(features)
n_state = mouse_hmm.n_state
params = mouse_hmm.parameters
fig, axs = plt.subplots(n_features, 1, figsize=(6, 12))
for i in range(n_features):
    if i > 1:
        scale = 2  # Body length is in mm, no scaling needed
    axs[i].bar(
        range(n_state),
        params[0][i] * scale,
        yerr=1.65 * (params[1][i] ** 0.5) * scale,  # 95% CI = ±1.65*std
        capsize=8,  # Size of error bar caps
    )
    axs[i].set_xticks(range(0, n_state), [str(j + 1) for j in range(n_state)])
    axs[i].set_ylabel(features[i])
axs[2].set_xlabel("State")
plt.tight_layout()
plt.show()
../../_images/8a868d90f6fb10f43cfb103a72cfa20507d224d47fbe9be9c6ef2429d32e5439.png

The transition matrix can be visualised as a heatmap, where the diagonal entries indicate the probability of remaining in the same state, while off-diagonal entries represent transitions between different states.

matrix = mouse_hmm.transition_mat
annot_array = np.array([[round(item, 3) for item in row] for row in matrix])
labels = ["$S_{" + str(i + 1) + "}$" for i in range(len(matrix))]
fig, ax = plt.subplots(figsize=(8, 6))
sns.heatmap(
    matrix,
    cmap="RdBu",
    ax=ax,
    square="True",
    cbar=True,
    annot=annot_array,
)
ax.set_title("Transition Matrix")
ax.set_xticklabels(labels)
ax.set_yticklabels(labels, rotation=0)
plt.tight_layout()
plt.show()
../../_images/cd8ba6d38ff7874ffa4cc36adf2e22dbf2ea17ffaab73a8fa1e30665b482ff6e.png